jnh官网

国网推荐厂家 | 服务热线:

jnh官网电气培训课之正序负序零序的理解

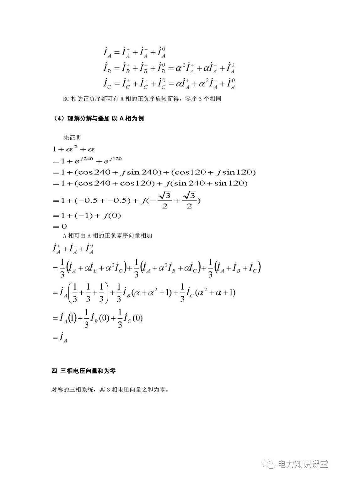
1:三相不平衡的的电压(或电流),可以分解为平衡的正序、负序和零序

2:零序为3相电压向量相加,除以3

3:正序将BC相旋转120度到A相位置,这样3个向量相加会较,3个向量相加,除以3

4:负序将BC相旋转120度到A相相反位置,这样3个向量相加会较,3个向量相加,除以3


个人为理解三相不平衡做的总结。总没有理解三相不平衡,因为我没有上过电力系统的课程,实际上课本上有,所以百度上很少。有很多东西,网上没有的原因是因为实际很简单,专家们都不好意思写。


对称分量法参考借用了东南大学电器工程学院的PPT的图片。作图法用CAD的平移很方便,求3分点位置还网上查了下。


1:不过我仍没有了解三相不平衡的各种保护方法。零序保护倒是理解,用开口三角即可。负序保护难道采样后用算,那一个周波都过了,保护时间是否足够。


2similink是否可以仿真故障并做相序分析


3:可以方便的实现matlab编程,将不平衡的三相精确地分解为正序、负序与零序(曾经有简单估算方法)。计算程序需要输入每相的幅值与相角。 不平衡保护设备现场计算需要采集幅值与相角作为输入参数吗?这个问题肯定很简单,但我没查到文章介绍实现方法。


4:暂态过程的不平衡一致吗


5:希望理解或仿真电力系统故障导致的不平衡,并以此判定系统故障,本次仍没能实现,希望下次再突击阅读理解。


一:理解

1 相序

在三相电力系统中,各相电压或电流依其先后顺序分别达到最大值(以正半波幅值为准)的次序,称为相序。


正相序:分别达到最大值的次序为A、B、C;

负相序:分别达到最大值的次序为A、C、B。

图片

2不对称运行状态的主要原因

(1)外施电压不对称,三相电流也不对称。

(2)各相负载阻抗不对称。当初级外施电压对称,三相电流不对称。不对称的三相电流流经变压器,导致各相阻抗压降不相等,从而次级电压也不对称。

(3)外施电压和负载阻抗均不对称。


3对称分量法

对称分量法是分析三相不对称运行的基本方法。任意一组三相不对称的物理量(电压、电流等)均可分解成三组同频率的对称的物理量。

以电流为例,说明如下:

图片

图片

图片

图片

图片

图片

图片

图片

图片

图片

本文来自:『   网络   』版权归原作者所有,如有侵权请联系jnh官网删除。

产品咨询及购买                                     
专业的销售工程师会给您周全、贴心的技术解答和选型指导。     
电  话: / 87575258
24小时销售咨询:(微信同号)
邮  箱:
传  真:

微信扫一扫快速报价                                  
友情链接: 绝缘电阻测试仪无线高压核相仪直流电阻测试仪三相钳形相位伏安表     武汉jnh官网电气有限公司是生产电力检测设备,电力试验设备,电力检测仪器,电力测试仪器的厂家!
销售选型热线
SALES SELECTION HOTINE
                                 
武汉jnh官网电气有限公司    地  址:武汉东湖开发区光谷大道62号光谷关南福星工业园  网  址:fengshangongche.com  邮  编:430075        
登录
登录
其他账号登录:
我的资料
留言
回到顶部
金年会 金年会 金年会 金年会 金年会 千亿球友会 千亿球友会 千亿球友会